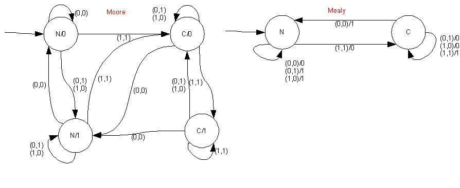
Zustandsautomaten mit Ausgabe


(SkriptAtfsEckNr1, S. 33)


image


image


Siehe auch
Valid XHTML :: Valid CSS: :: Powered by WikkaWiki